400-963-0755 CN EN

FZ/T 01026-2017 新标准的应用与解释——纺织品检测系列 Time:2017-10-31 13:33:52    浏览数量:9392次   

前言:
    2017年4月12日,中华人民共和国工业和信息化部批准发布第2017年第14号公告(9月11日行业标准备案公告2017年第8号,总第212号)中,FZ/T 01026-2017 《纺织品 定量化学分析 多组分纤维混合物》替代标准FZ/T 01026-2009 《纺织品 定量化学分析 四组分纤维混合物》,于10月1日正式实施。

前世今生:

    Z/T 01026-93 《四组分纤维混纺产品定量化学分析方法》是1993年发布实施的关于四组分纺织纤维混纺和交织产品的含量分析方法,填补了当时 GB 2910 《二组分纤维混纺产品定量化学分析方法》与GB 2911 《三组分纤维混纺产品定量化学析方法》的方法空白。该方法定义了四组分纤维混纺产品中不同的溶解方案以及相应的计算公式,并且将常见纤维组合一一举例并给出相应溶解试剂及修正系数。


    FZ/T 01026-2009 《纺织品 定量化学分析 四组分纤维混合物》于2010年发布实施,替代FZ/T 01026-93并做了部分修改。由于GB 2010与GB 2911已更替至GB/T 2910-1997及GB/T 2911-1997,再后来为GB/T 2910-2009系列标准,FZ/T 01026相应修改了原有的计算公式,便于方案理解而做了图示说明,附录给予计算实例。


    FZ/T 01026-2017 《纺织品 定量化学分析 多组分纤维混合物》于10月1日后实施,相较于2009版,最大的改变方法标准的适用范围,四组分及以上纤维混合物纺织品的含量分析方法,并且调整了计算公式,修正值的计算方式与上个版本有所不同,但两种方式的计算结果一致。

    
计算差异(2009版与2017版):
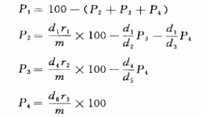
2009版修正系数算法:四组分(顺序溶解)





    其中d1、d2、d3为试剂一对B、C、D的质量损失修正系数;d4、d5为C、D在试剂一、二中的质量损失修正系数,即当C、D在试剂二中的质量损失修正系数为d4.2和d5.2,d4=d2×d4.2,d5=d3×d5.2;d6为D在试剂一、二、三中的质量修正系数,即D在试剂三中修正为d6.3,d6= d5×d6.3=d3×d5.2×d6.3。

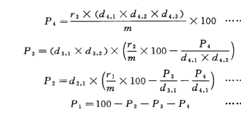
2017版修正系数算法:四组分(顺序溶解)






    其中所有的质量损伤修正系数均为试样在溶解过程中各纤维在不同试剂下的固定值(见GB/T 2910),由此,与2009版计算对应可知:



因此,2009版与2017版虽然在修正系数的在描述上不同,但在最终的计算上结果相同。

当样品为五组分时,按照2009版的修正系数延伸应为:


    
当样品为五组分时,2017版的修正系数为:



计算结果一致





    华通威解决方案:
    一直以来,对粗纺及色织等多组分纤维组成的纺织面料,其使用测试方法大都为参考GB/T 2910或FZ/T 01026,只对有损伤纤维做修正计算,或不做修正处理,因此不同实验室之间对五组分以上的面料结果的差异除了因为溶解步骤多且复杂外,计算同样是一个主要因素。新标准实施后,此类面料的含量分析方法有明确的检测依据,在计算上回归到初始的试剂对纤维本身的损伤修正,不再叠加损伤计算修正值,因此在公式上做了修改,有利于各实验室之间的数据稳定。

转载注明:http://m.shtetan.com/

电话沟通 立即下单